INFO TEMPO – PT Pertamina Patra Niaga Refinery Unit (RU) IV Cilacap membuka tender terbuka untuk pekerjaan Penambahan Plant Air Compressor Utilities Residual Fluid Catalytic Cracking (RFCC). Kesempatan ini terbuka bagi calon peserta pemilihan yang berstatus Daftar Penyedia Terseleksi (DPT)/Vendor terdaftar di lingkungan Pertamina maupun vendor non-DPT yang belum terdaftar dalam sistem perusahaan.
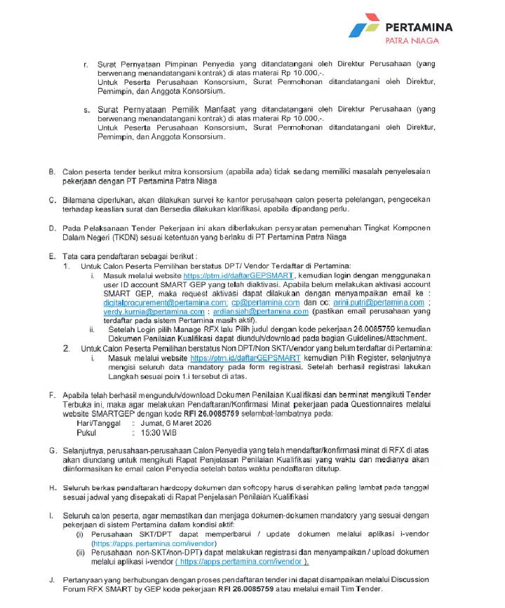
Bagi calon peserta berstatus DPT/Vendor terdaftar, proses pendaftaran dilakukan melalui laman https://ptm.id/daftarGEPSMART dengan login menggunakan user ID akun SMART GEP yang telah diaktivasi. Apabila akun belum aktif, perusahaan dapat mengajukan permintaan aktivasi melalui email ke [email protected] dan [email protected], dengan tembusan kepada [email protected]; [email protected]; serta [email protected].
Scroll ke bawah untuk melanjutkan membaca
Peserta juga diminta memastikan bahwa alamat email perusahaan yang terdaftar pada sistem Pertamina masih aktif guna kelancaran komunikasi dan notifikasi proses tender.
Setelah berhasil login, peserta dapat memilih menu Manage RFX, kemudian memilih judul pekerjaan dengan kode 26.0085759. Dokumen penilaian kualifikasi dapat diunduh melalui bagian Guidelines/Attachment pada sistem tersebut.
Sementara itu, bagi calon peserta berstatus Non DPT/Non SKT atau vendor yang belum terdaftar di Pertamina, proses diawali dengan melakukan registrasi melalui laman yang sama, kemudian memilih menu register dan mengisi seluruh data mandatory pada formulir registrasi. Setelah proses registrasi dinyatakan berhasil, peserta dapat melanjutkan tahapan sesuai prosedur yang berlaku bagi DPT/Vendor terdaftar.
Adapun dokumen tender terbuka secara lengkap dapat dilihat dan diunduh disini. Tender ini diharapkan dapat menjaring mitra kerja profesional dan kompeten guna mendukung peningkatan keandalan fasilitas utilities RFCC di RU IV Cilacap.
Dokumen Tender Pertamina
Dokumen Tender Pertamina
Dokumen Tender Pertamina
Dokumen Tender Pertamina
Dokumen Tender Pertamina
(*)






